728x90
문제 설명
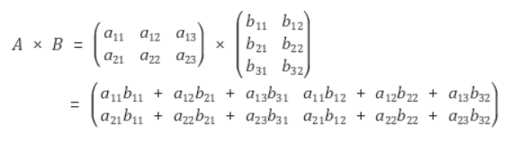
2차원 행렬 arr1과 arr2를 입력받아, arr1에 arr2를 곱한 결과를 반환하는 함수, solution을 완성해주세요.
제한 조건
- 행렬 arr1, arr2의 행과 열의 길이는 2 이상 100 이하입니다.
- 행렬 arr1, arr2의 원소는 -10 이상 20 이하인 자연수입니다.
- 곱할 수 있는 배열만 주어집니다.
입출력 예
| arr1 | arr2 | return |
|---|---|---|
| [[1, 4], [3, 2], [4, 1]] | [[3, 3], [3, 3]] | [[15, 15], [15, 15], [15, 15]] |
| [[2, 3, 2], [4, 2, 4], [3, 1, 4]] | [[5, 4, 3], [2, 4, 1], [3, 1, 1]] | [[22, 22, 11], [36, 28, 18], [29, 20, 14]] |
풀이
- 3중 반복문 사용
- 행렬 곱셈의 원리를 알아야 함

def solution(arr1, arr2):
answer = []
for i in range(len(arr1)):
tmp = []
for j in range(len(arr2[0])):
sum = 0
for k in range(len(arr2)):
sum += arr1[i][k] * arr2[k][j]
tmp.append(sum)
answer.append(tmp)
return answer728x90
'💻dev > 💡코딩테스트' 카테고리의 다른 글
| 프로그래머스 | Lv.2 압축 (파이썬) (0) | 2023.09.05 |
|---|---|
| 프로그래머스 | Lv.2 124 나라의 숫자 (파이썬) (0) | 2023.09.05 |
| 프로그래머스 | Lv.2 과제 진행하기 (파이썬) (0) | 2023.09.05 |
| 프로그래머스 | Lv.2 할인행사 (파이썬) (0) | 2023.08.17 |
| 프로그래머스 | Lv.2 오픈채팅방 (파이썬) 2019 KAKAO BLIND RECRUITMENT (0) | 2023.07.19 |